Grigliare con i nostri Barbeque non è mai stato così facile
Sei pronto a riscoprire il vero sapore di una buona cottura alla piastra? Dimentica le grigliate del passato. Intrattieni amici e parenti con piatti degni di uno chef grazie a MTA BARBEQUE. Un nuovo modo di cucinare sano, senza rinunciare al gusto.
Grigliare con i nostri Barbeque non è mai stato così facile
Sei pronto a riscoprire il vero sapore di una buona cottura alla piastra? Dimentica le grigliate del passato. Intrattieni amici e parenti con piatti degni di uno chef grazie a MTA BARBEQUE. Un nuovo modo di cucinare sano, senza rinunciare al gusto.
Grigliare con i nostri Barbeque non è mai stato così facile
Sei pronto a riscoprire il vero sapore di una buona cottura alla piastra? Dimentica le grigliate del passato. Intrattieni amici e parenti con piatti degni di uno chef grazie a MTA BARBEQUE. Un nuovo modo di cucinare sano, senza rinunciare al gusto.
Un design all' avanguardia per il tuo comfort

Niente più problemi di pulizia con MTA Barbeque
La speciale piastra in lega d’acciaio non offre solo una cottura impeccabile, ma è anche facilissima da pulire.
Con la stessa spatola che usi per cucinare ed un po’ d’acqua puoi far tornare la tua piastra come nuova in pochissimi secondi.
Come è possibile tutto questo?
I grassi rilasciati durante la cottura vengono accuratamente raccolti in due capienti vaschette, mentre la superficie liscia preserva i cibi dall’attaccatura.
Un semplice panno da cucina scotch brite sarà sufficiente per le incrostazioni più difficili, oppure puoi sempre ricorrere al nostro detergente specifico Piastra Brill.
La piastra è completamente removibile e può essere lavata con estrema facilità nel lavandino, mentre il resto degli accessori possono essere inseriti in lavastoviglie.
I 3 segreti del nostro Barbeque

Piastra in lega d'acciaio
Le piastre MTA Barbeque sono realizzate con una speciale lega d’acciaio. Un’ unione di metalli pregiati per raggiungere temperature elevate senza alterare i sapori dei cibi.
Alimentazione a gas GPL
Grazie all’utilizzo del GPL avrai una resa calorica superiore e i gas liberati durante la combustione non passeranno mediante gli alimenti nel processo di cottura.

Bruciatori professionali
Abbiamo affiancato all’efficienza della piastra in lega d’acciaio dei bruciatori ad alta potenza per evitare cali di calore anche a pieno carico di cibo e garantire sempre una cottura uniforme e impeccabile.
I 3 segreti del nostro Barbeque

Piastra in lega d'acciaio
Le piastre MTA Barbeque sono realizzate con una speciale lega d’acciaio. Un’ unione di metalli pregiati per raggiungere temperature elevate senza alterare i sapori dei cibi.
Alimentazione a gas GPL
Grazie all’utilizzo del GPL avrai una resa calorica superiore e i gas liberati durante la combustione non passeranno mediante gli alimenti nel processo di cottura.

Bruciatori professionali
Abbiamo affiancato all’efficienza della piastra in lega d’acciaio dei bruciatori ad alta potenza per evitare cali di calore anche a pieno carico di cibo e garantire sempre una cottura uniforme e impeccabile.
I 3 segreti del nostro Barbeque

Piastra in lega d'acciaio
Le piastre MTA Barbeque sono realizzate con una speciale lega d’acciaio. Un’ unione di metalli pregiati per raggiungere temperature elevate senza alterare i sapori dei cibi.
Alimentazione a gas GPL
Grazie all’utilizzo del GPL avrai una resa calorica superiore e i gas liberati durante la combustione non passeranno mediante gli alimenti nel processo di cottura.

Bruciatori professionali
Abbiamo affiancato all’efficienza della piastra in lega d’acciaio dei bruciatori ad alta potenza per evitare cali di calore anche a pieno carico di cibo e garantire sempre una cottura uniforme e impeccabile.
La gamma Barbeque MTA
Ogni gamma MTA Barbeque viene offerta al pubblico in tre versioni differentemente accessoriate: BASIC, PLUS e PRO.
La gamma Barbeque MTA
Ogni gamma MTA Barbeque viene offerta al pubblico in tre versioni differentemente accessoriate: BASIC, PLUS e PRO.
La gamma Barbeque MTA
Ogni gamma MTA Barbeque viene offerta al pubblico in tre versioni differentemente accessoriate: BASIC, PLUS e PRO.
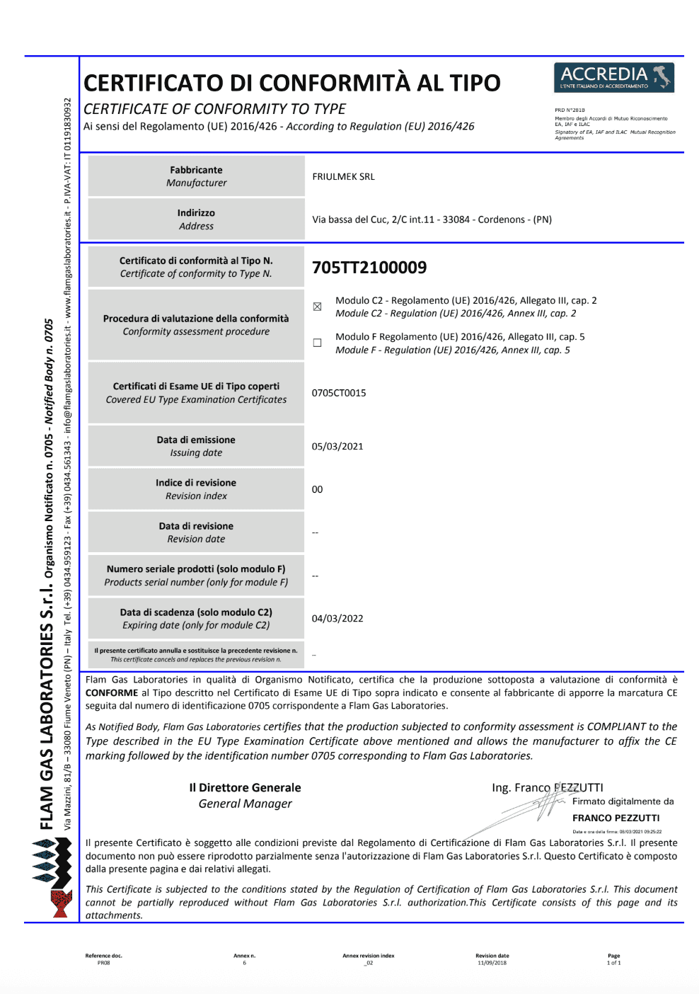
Qualità e certificazioni
Grande attenzione ai dettagli, materiali di elevata qualità e soluzioni tecniche pari a quelle delle grandi cucine professionali.
La struttura è in solido acciaio inox e tutti i componenti sono ideati e realizzati in Italia, superando i più severi test di certificazione CE ai sensi della direttiva apparecchi a gas, regolamento GAR UE 2016/426 rilasciata da un prestigioso ente certificatore.
Questo significa che facendo seguito alle prove di sicurezza eseguite a campione e al controllo annuale da parte dell’ organo notificato, il prodotto è coperto dalla massima garanzia di qualità e sicurezza al momento della commercializzazione.

Qualità e certificazioni
Grande attenzione ai dettagli, materiali di elevata qualità e soluzioni tecniche pari a quelle delle grandi cucine professionali.
La struttura è in solido acciaio inox e tutti i componenti sono ideati e realizzati in Italia, superando i più severi test di certificazione CE ai sensi della direttiva apparecchi a gas, regolamento GAR UE 2016/426 rilasciata da un prestigioso ente certificatore.
Questo significa che facendo seguito alle prove di sicurezza eseguite a campione e al controllo annuale da parte dell’ organo notificato, il prodotto è coperto dalla massima garanzia di qualità e sicurezza al momento della commercializzazione.

Qualità e certificazioni
Grande attenzione ai dettagli, materiali di elevata qualità e soluzioni tecniche pari a quelle delle grandi cucine professionali.
La struttura è in solido acciaio inox e tutti i componenti sono ideati e realizzati in Italia, superando i più severi test di certificazione CE ai sensi della direttiva apparecchi a gas, regolamento GAR UE 2016/426 rilasciata da un prestigioso ente certificatore.
Questo significa che facendo seguito alle prove di sicurezza eseguite a campione e al controllo annuale da parte dell’ organo notificato, il prodotto è coperto dalla massima garanzia di qualità e sicurezza al momento della commercializzazione.

Le vostre rencensioni
Storie vere e recensioni di chi vive il Barbeque
"Questo barbecue è fantastico! Ho organizzato una grigliata con amici e tutti sono rimasti colpiti. Facile da usare, design elegante, e i cibi vengono cotti alla perfezione. Non potrei essere più soddisfatto!"
"Non pensavo che un barbecue potesse fare tanta differenza. Facile da usare, scalda velocemente e cuoce alla grande."
"Perfetto per ogni occasione! Da quando l'ho comprato, ogni weekend è un successo con amici e famiglia. Cottura impeccabile e un design che fa la sua figura in giardino. Soddisfatto!"
"Ottimo barbecue, molto solido e facile da pulire. La cottura è uniforme e il sapore è eccezionale. Lo ricomprerei senza pensarci."
"Lo adoro! Cucino di tutto, dalla carne alle verdure, e viene tutto buonissimo. Si vede che è fatto con materiali di qualità. Super consigliato."
"Assolutamente soddisfatto dell’acquisto! Il barbecue è pratico, si accende rapidamente e garantisce una cottura uniforme davvero ottima. L’ho già usato e ha sempre fatto un figurone."
Le vostre rencensioni
Storie vere e recensioni di chi vive il Barbeque
"Questo barbecue è fantastico! Ho organizzato una grigliata con amici e tutti sono rimasti colpiti. Facile da usare, design elegante, e i cibi vengono cotti alla perfezione. Non potrei essere più soddisfatto!"
"Non pensavo che un barbecue potesse fare tanta differenza. Facile da usare, scalda velocemente e cuoce alla grande."
"Perfetto per ogni occasione! Da quando l'ho comprato, ogni weekend è un successo con amici e famiglia. Cottura impeccabile e un design che fa la sua figura in giardino. Soddisfatto!"
"Ottimo barbecue, molto solido e facile da pulire. La cottura è uniforme e il sapore è eccezionale. Lo ricomprerei senza pensarci."
"Lo adoro! Cucino di tutto, dalla carne alle verdure, e viene tutto buonissimo. Si vede che è fatto con materiali di qualità. Super consigliato."
"Assolutamente soddisfatto dell’acquisto! Il barbecue è pratico, si accende rapidamente e garantisce una cottura uniforme davvero ottima. L’ho già usato e ha sempre fatto un figurone."
Le vostre rencensioni
Storie vere e recensioni di chi vive il Barbeque
"Questo barbecue è fantastico! Ho organizzato una grigliata con amici e tutti sono rimasti colpiti. Facile da usare, design elegante, e i cibi vengono cotti alla perfezione. Non potrei essere più soddisfatto!"
"Non pensavo che un barbecue potesse fare tanta differenza. Facile da usare, scalda velocemente e cuoce alla grande."
"Perfetto per ogni occasione! Da quando l'ho comprato, ogni weekend è un successo con amici e famiglia. Cottura impeccabile e un design che fa la sua figura in giardino. Soddisfatto!"
"Ottimo barbecue, molto solido e facile da pulire. La cottura è uniforme e il sapore è eccezionale. Lo ricomprerei senza pensarci."
"Lo adoro! Cucino di tutto, dalla carne alle verdure, e viene tutto buonissimo. Si vede che è fatto con materiali di qualità. Super consigliato."
"Assolutamente soddisfatto dell’acquisto! Il barbecue è pratico, si accende rapidamente e garantisce una cottura uniforme davvero ottima. L’ho già usato e ha sempre fatto un figurone."
Ottieni più informazioni riguardo i Barbeque MTA
Desideri maggiori informazioni o assistenza in fase di acquisto dei nostri barbeque? Siamo a tua completa disposizione: contattaci tramite il modulo sottostante.
Ottieni più informazioni riguardo i Barbeque MTA
Desideri maggiori informazioni o assistenza in fase di acquisto dei nostri barbeque? Siamo a tua completa disposizione: contattaci tramite il modulo sottostante.
Ottieni più informazioni riguardo i Barbeque MTA
Desideri maggiori informazioni o assistenza in fase di acquisto dei nostri barbeque? Siamo a tua completa disposizione: contattaci tramite il modulo sottostante.

Mtabarbecue.it di FriulMek srl
P.I. 01860470937
via Bassa del Cuc 2/c int.11
33084 Cordenons (PN)
Copyright @ 2026 MTA Barbeque. Sito web realizzato da Burlon Design

Mtabarbecue.it di FriulMek srl
P.I. 01860470937
via Bassa del Cuc 2/c int.11
33084 Cordenons (PN)
Copyright @ 2026 MTA Barbeque. Sito web realizzato da Burlon Design

Mtabarbecue.it di FriulMek srl
P.I. 01860470937
via Bassa del Cuc 2/c int.11
33084 Cordenons (PN)
Copyright @ 2026 MTA Barbeque. Sito web realizzato da Burlon Design

Mtabarbecue.it di FriulMek srl
P.I. 01860470937
via Bassa del Cuc 2/c int.11
33084 Cordenons (PN)
Copyright @ 2026 MTA Barbeque. Sito web realizzato da Burlon Design



